knbt1 Worksheets
Number and Operations in Base Ten
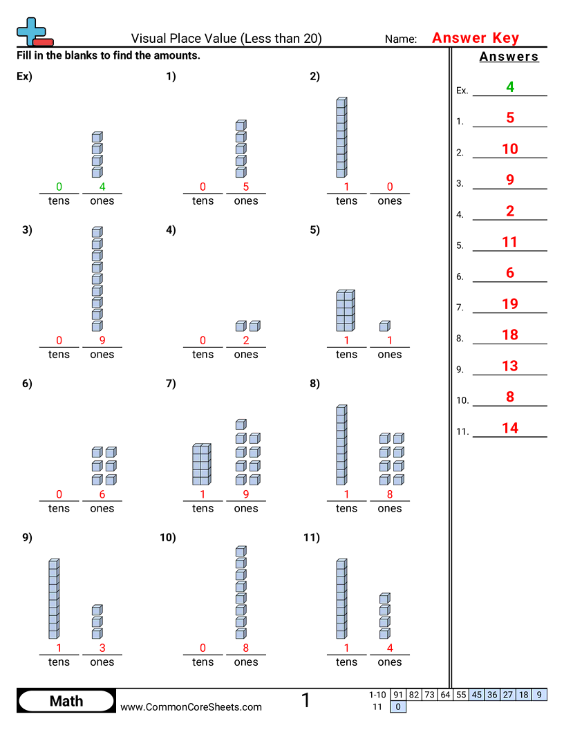
Work with numbers 11-19 to gain foundations for place value.
1Compose and decompose numbers from 11 to 19 into ten ones and some further ones, e.g., by using objects or drawings, and record each composition or decomposition by a drawing or equation (e.g., 18 = 10 + 8]; understand that these numbers are composed of ten ones and one, two, three, four, five, six, seven, eight, or nine ones.
knbt1
knbt1

×
Description:
"This worksheet is designed to enhance students' understanding of the concept of visual place value for numbers less than 20. It provides 11 problems, focusing on tens and ones. It is customizable to meet individual learning styles and needs, and can be converted into flashcards. This makes it suitable for distance learning, supporting self-paced practice in math, and reinforcing number sense and numeracy skills."

×
Student Goals:
Understanding place valueAfter completing this worksheet, students should be able to have a deeper understanding of the concept of place value. They will be capable of distinguishing between the tens and ones place, which is a fundamental knowledge in basic mathematics.Ability to read and write numbersThrough engaging with numerous real-world examples, children will learn to read and write numbers within 20. They will be able to accurately identify the number of tens and ones in a two-digit number, an essential skill for further development in their numeracy journey.Increased number senseThis worksheet will aid in enhancing students' number sense which refers to a general understanding of number and operations, as well as the ability to use this understanding to make mathematical judgments. The children will start to see relationships between numbers, thereby fostering a more intuitive understanding of mathematical operations.Boosted confidenceAs they work through the problems and correctly determine the tens and ones in numbers, students’ overall confidence in handling numbers will be boosted. Achieving a sense of accomplishment through this math worksheet, they'll likely grow to be more comfortable when dealing with more complex numerical problems.Practical application of math conceptsAn important goal with this set of problems is to help children understand the applications of place values in everyday routine. They will be able to apply this knowledge in various practical contexts, such as telling time, counting money, and measuring objects, empowering them to see the relevance and value of math in daily life.