2.D.1.2 Worksheets
Data & Probability (D)
2.D.1 Collect, organize, and interpret data.
2.D.1.2Organize a collection of data with up to four categories using pictographs and bar graphs in intervals of 1s, 2s, 5s or 10s.
2.D.1.2
2md10

×
Description:
"This worksheet is designed to teach children the fundamentals of interpreting bar graphs in an engaging way. The focus is on reading graphs to understand and compare monetary savings data. With 10 problems, children can engage with real-world applications of math. The worksheet is flexible and can be customised to your child's needs, even converted into flashcards for convenient learning. It also serves as an excellent resource for distance learning, making math education accessible and fun."

×
Student Goals:
Understanding GraphsStudents should have a good command over reading and interpreting bar graphs. They should be able to distinguish the different segments, their sizes and accurately identify and compare the quantities represented by these segments on the bar graph. Grasping the concept of graphical representation of data will equip these young learners with the aptitude to navigate through the increasingly data-centric world.Problem-solving skillsThe worksheet is also designed to improve students' problem-solving skills. They should be able to decipher the problem in each question, apply the right approach to find the solution and understand the logic behind each solution. This enhances their analytical thinking and improves their ability to solve real-life problems.Basic mathematical conceptsStudents should be able to grasp basic mathematical facets like understanding quantities, differences, comparisons and totals. They should be equipped to identify who has saved the most or the least amount of money, what the difference is between two amounts, and what the total sum of money saved is. This understanding will lay a solid foundation for dealing with numbers and calculations in their future academic journey.Comparison skillsA crucial accomplishment is the enhancement of the children's ability to compare and contrast quantities. They will be enabled to tell who saved more or less money, thereby building the rudimentary concepts of comparison into their cognitive skill set. This will allow them to better interact with their environment, making them more competent in distinguishing between various quantities and scales.Applied learningUsing real life context such as savings, this worksheet thereby introduces young learners to the concept of applied learning. After completing the worksheet, they should be able to apply the mathematical concept of 'saving' in their real life, enhancing their arithmetical competence and equipping them with the knowledge to manage finances at an elementary level.
3md3

×
Description:
"This worksheet is designed to enhance children's understanding of bar graphs in math. It features 10 engaging problems where youngsters interpret data, compare figures, and analyze subject popularity based on student votes. Versatile and adaptable, it suits various learning approaches. Customize per your needs, convert into flashcards for hands-on learning, or integrate into any distance learning curriculum for a fruitful educational experience."

×
Student Goals:
Improved Data Interpretation SkillsStudents will develop the ability to interpret bar graphs. They would understand how to analyze the vertical or horizontal bars, representing the data in the graph, helping them to make comparative observations. This worksheet will lay down the foundation for data handling skills, which is a significant skill required in the real world.Enhanced Critical Thinking and Problem-Solving SkillsThe students will boost their problem-solving skills. Analyzing bar graphs and answering related questions requires strategizing and reasoning. They will become proficient in extracting and manipulating data from a given bar graph. Their critical thinking abilities will be enhanced, preparing them for higher-level mathematical challenges.Understanding of Mathematical ConceptsCompletion of this worksheet equips learners with a deeper understanding of fundamental mathematical concepts. For instance, they will be able to comprehend values, differences, and total number data points. They will also learn about concepts like most, least, and fewer, leading to a composed mental mathematical structure.Better Quantitative LiteracyThis worksheet will enrich students' numerical skills and overall quantitative literacy. Understanding number co-relations, working out differences between numbers, and determining total counts represented on a bar graph would help nurture their mathematical reasoning skills and quantitative aptitude.Skills in Comparative AnalysisStudents will learn how to make comparative analyses. They will examine and compare data from different sections of the bar graph, allowing them to draw accurate and rational conclusions. This is a skill that extends beyond mathematics, essential in other academic areas and life situations.Foster Curiosity and Enthusiasm for LearningBy offering a variety of problems, this worksheet will stoke the curiosity of students, encouraging a more profound interest in problem-solving. It fosters enthusiasm for learning as students enjoy the satisfaction of accurately interpreting data to solve problems.Increased Academic Performance and ConfidenceSolving such worksheets can lead to improvements in academic performance in the subject of Math. Additionally, as they become more adept at solving the problems within the worksheet, their confidence in handling similar problems in the future would be significantly boosted.
3md3

×
Description:
"This worksheet is designed to boost children's analytical skills in math, focusing on the concept of graph interpretation. It contains four engaging problems, asking students to match data to corresponding graphs. Each problem can be customized to align with various learning objectives. With its flexibility, it can be converted into flashcards or utilized for distance learning, promoting an effective and interactive approach to grasp and master this crucial math competency."

×
Student Goals:
Interpret and Analyze GraphsUpon successful completion of this worksheet, students should be able to accurately interpret and analyze graphical data. They will have a solid understanding of how to read different types of graphs, identifying the points on the graph and understanding what those points represent in a real-world context. From bar graphs to line charts, students will gain the ability to extract meaningful conclusions from the presented data.Critical Thinking and Problem-Solving SkillsStudents will develop their critical thinking and problem-solving skills, essential components in math and other areas of study. By analyzing data and making matches, students are actively engaged in problem-solving scenarios. These exercises require students to think critically, make decisions, and understand the consequences of these decisions, fostering cognitive growth and development.Data RepresentationLearners will acquire knowledge about data representation. They will understand how different data sets can be visually depicted through graphs. They will learn to associate values with different data categories and perceive how these values can influence the structure of the graph. This understanding will aid them in constructing their own graphs and charts in the future, a skill applicable in many academic and professional fields.Observation and Comparison SkillsThe ability to compare different graphs and observe similarities and differences is a vital skill that should be honed when completing this worksheet. Observational and comparison skills are not only essential for mathematics and statistics, but they're also valuable in everyday life. It enables students to compare different situations, make judgments, and take suitable actions accordingly.Conceptual Understanding of Mathematical IdeasThe worksheet aids in reinforcing the students' understanding of fundamental mathematical concepts. This is achieved through the practical application of these concepts to real-world scenarios. By being able to match data with its graphical representation, students will solidify their understanding of these mathematical principles, fostering future learning and comprehension.
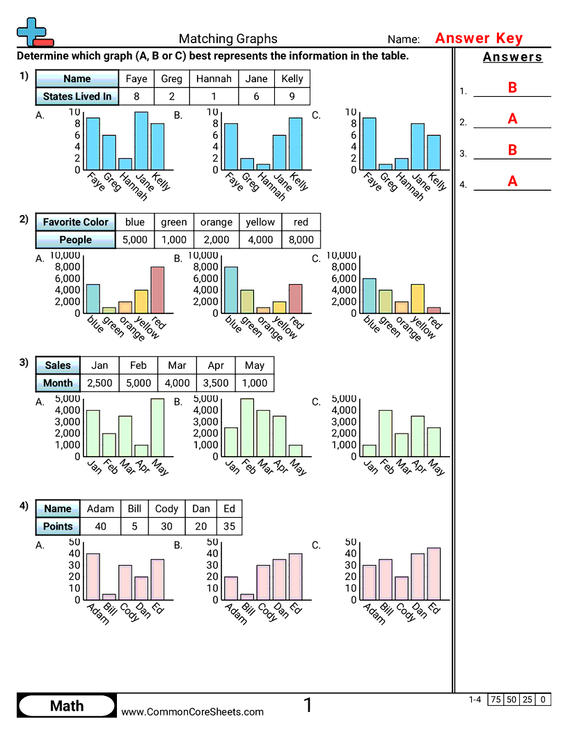
3md3

×
Description:
"This worksheet is designed to boost children's math skills through a series of six problems focused on Matching Graphs. Using colorful and engaging tables, each problem encourages children to discern patterns and analyze data. The worksheet can be easily customized for individual needs, converted into flash cards for hands-on learning, or utilized as a resource for distance learning. This ready-to-use educational tool promotes a fun, interactive way to master math concepts in a contemporary learning environment."

×
Student Goals:
Problem Solving SkillsUpon completing the 'Matching Graphs' worksheet, students will be able to enhance their problem-solving skills. The worksheet presents multiple problems that require students to analyze data in order to find the correct answers. This helps them to develop critical thinking and strategy development skills needed in problem-solving.Data AnalysisThe math worksheet will enable students to improve their ability to analyze and interpret data, a key mathematical skill. By working through each of the problems presented, they will have the chance to practice their data reading, comparison, and interpretation skills. Over time and with consistent practice, their comprehension and speedy interpretation of such data will improve.Understanding GraphsStudents will develop a better understanding of graphs by completing this worksheet. They will learn how to match up different sets of data and gain the ability to extract information from these graphs successfully. The ability to read and understand graphs is a crucial skill in math and science education.Attention to DetailBy precisely studying each set of data and determining the correct match, students will enhance their attention to detail. They will learn to carefully consider each piece of information before arriving at a conclusion, which is a valuable skill in many aspects of life.Accuracy and EfficiencyAs students complete the worksheet, they are likely to improve their accuracy and efficiency in dealing with numerical data. They will become more adept at recognizing patterns and making correct decisions quickly. This will boost their overall mathematical prowess and efficiency.Mathematical VocabularyThe worksheet will also help students in familiarizing with and understanding the common mathematical terms and language used in graphs and data analysis. This will enhance their mathematical vocabulary and communication, thus deepening their overall comprehension of the subject.
2md10

×
Description:
"This worksheet is designed to enhance children's mathematical skills specifically in reading and interpreting bar graphs. Featuring 10 problems, it presents questions about point comparisons among teams, highest and lowest scores. The customizable content can easily be converted into flash cards for interactive learning or utilized in distance learning settings, fostering independent comprehension of this critical aspect of math education."

×
Student Goals:
Understanding the Concept of Bar GraphsThe completion of this worksheet should enable children to understand and interpret the information presented via bar graphs. They should be able to analyze the relative heights of different bars, distinguishing between longer and shorter ones and understanding what that difference signifies in the context of the data being presented. This skill is crucial for data interpretation not only in math, but in science, and social studies as well.Application of Mathematical OperationsAfter completing the worksheet, the students should be more competent in applying basic mathematical operations such as addition, subtraction, and comparison when interpreting data from bar graphs. This means they can determine more or fewer scored points, the team with most or fewest points, the total points scored, and the points scored by a particular team or teams. These abilities reinforce the practical use of math in real-world situations.Critical Thinking and Analytical SkillsStudents will develop their critical thinking and analytical skills. They will be able to identify trends, make comparisons, and interpret data in context, skills which are transferable to many other areas of study and everyday life. For instance, the ability to discern which team scored 20 points means they can spot specific data in a larger set.Problem Solving AbilitiesStudents should demonstrate improved problem-solving abilities by drawing logical conclusions from the data represented. By discerning differences in points scored between teams, they are fostering an understanding of the application of mathematics in problem-solving.Incremental Learning and Confidence BuildingLastly, completing the worksheet successfully should result in students building their confidence in understanding and using bar graphs. This confidence can stimulate interest and curiosity in further learning about more complex data interpretation involving other forms of graphs and charts. Incremental learning like this forms a strong foundation for more advanced topics in future mathematical studies.
3md3

×
Description:
This worksheet is designed to educate kids about reading bar graphs through engaging math problems. It features 10 problems, asking them to compare and analyze data represented in graphs. Perfect for distance learning, this versatile resource can be customized to suit individual learning needs and even converted into flash cards for more interactive study sessions.

×
Student Goals:
Understanding Bar GraphsStudents will gain a thorough understanding of bar graphs. They will be capable to identify different features of a bar graph and comprehend the significance of each. Through comparison, they will be able to spot differences and similarities between various data points.Analytical SkillsCompleting this worksheet will enhance students' analytical skills. They'll become proficient in examining and interpreting bar graphs. They will learn to pose and answer questions based on the information presented on the graph, fostering their critical thinking ability.Application of Mathematical ConceptsStudents will demonstrate the application of mathematical concepts in interpreting data. They'll be able to articulate specific numerical data points from the graph and perform basic arithmetic manipulations like counting, adding, subtracting or even identifying greater or lesser values.Data InterpretationStudents will improve their skills in data interpretation, a necessary skill in today's data-driven world. They will learn how to convert data from a graphical representation into understandable insights. This could be as simple as identifying which station had the most ads, as well as more complex insights like the total number of ads across all stations.Problem-solving SkillsThe worksheet will strengthen students' problem-solving skills by providing complex challenges that require thoughtful solutions. By practicing, students will better understand how to break down a problem into its constituent parts and approach its solution logically.Communication of DataStudents will learn how to effectively communicate information derived from a bar graph. This worksheet will help them learn to turn data observed visually on a graph into coherent verbal or written responses. Such skills are critical in fields that revolve around the interpretation and communication of data.
2md10

×
Description:
"This worksheet is designed to enhance children's mathematical skills by matching pictographs to charts. The exercise involves six problems where kids correlate the number of fish caught on different days. The worksheet introduces them to key concepts in data interpretation and number patterns. Easily customizable, it can be converted into flash cards, or adapted for distance learning, offering a versatile educational tool to boost mathematical comprehension."

×
Student Goals:
Understanding Pictographs and ChartsAfter completing this worksheet, students should have a deeper understanding of pictographs and charts. They will be able to identify and read different types of pictographs, understanding how different symbols and icons represent different quantities. Furthermore, students will be able to comprehend the conversions between pictographs and charts, enhancing their analytical skills in the process.Handling Numerical DataThe exercise aids students in honing their skills in handling and interpreting numerical data. They will learn to analyse the relationships between different sets of data and what they signify, bolstering their ability to make deductions based on numerical information. This will serve as a stepping stone towards more complex numerical computations and analysis in future mathematical concepts.Correlating Days and ValuesThe worksheet also provides a contextual understanding of correlating certain values with certain days, promoting their skill in data logging and tracking. This foundational understanding of data correlation will enhance their capabilities in various everyday activities, like keeping track of personal habits or observing trends over time.Boost Critical Thinking and Problem Solving SkillsWorking through this worksheet promotes development of critical thinking and problem-solving skills. It requires students to match relevant information from different sources, a skill that is important in many real-life situations. In addition, the process of matching pictographs to charts improves their cognitive skills, pattern recognition and logical thinking.Growth in Confidence and Competence in MathThis worksheet aims to increase students' confidence and competence in math. It provides students the opportunity to apply their theoretical understanding of pictographs and charts to practical examples. By successfully completing the exercise, the students will achieve a sense of accomplishment and a growth in their confidence in working with numerical data, which is critical for their future mathematical learning.
2md10

×
Description:
This worksheet is designed to enhance children's analytical skills in math by reading pictographs. With ten diverse problems to solve, it explores concepts like comparing quantities, identifying specific data points, and weather pattern analysis. A versatile tool, it can be customized to cater to individual learning needs, converted into flash cards for interactive learning, or used in distance learning environments. This makes it ideal for multi-purpose educational use.

×
Student Goals: