Home Favorites My Account Menu
login
Playwire Advertisement

5 Bars - Single Unit

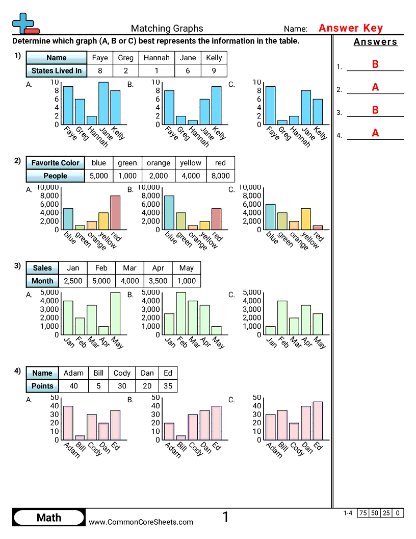
Each worksheet has 10 questions answering questions based on a bar graph.
Student Objectives
  • Read a bar graph with five categories and understand what each bar stands for.
  • Use the scale on the axis to find the value of each bar.
  • Answer questions that compare categories, like which is most, least, or how many more.
  • Add or subtract bar values to answer questions about totals and differences.
Standards
Playwire Advertisement