Our fraction worksheets are the best on the internet! These free worksheets are perfect for students of all ages who are learning or reviewing fractions. Our fraction worksheets cover a range of skills, from simplifying fractions to adding and subtracting fractions with different denominators. Each worksheet includes clear instructions and plenty of space for students to show their work. With our fraction worksheets, you'll find everything you need to help your students master this important math concept. So why wait? Try our fraction worksheets today and see why they're the best on the internet!
Browse Sheets By Problem Type
×
Multiplying & Dividing Fractions
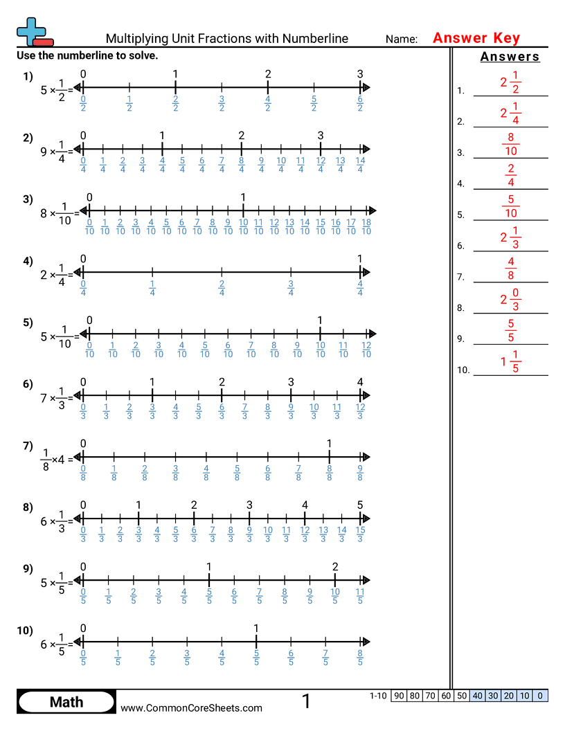
Multiplying Unit Fractions with Numberlines
4nf4a

×
Description:
"This worksheet is designed to reinforce children's understanding and skills in multiplying unit fractions using a number line. It includes 10 customizable math problems that illustrate the concept advantageously. The adaptable structure of the material also allows it to be converted into flashcards, aiding versatile and dynamic learning suitable for both conventional and distance learning setups. A great tool to build foundational math skills in an engaging way."

×
Student Goals:
Problem Solving SkillsAfter completion of the worksheet, learners will have increased their problem-solving skills. They will be able to handle a range of math problems, specially related to unit fractions and multiplying them efficiently. Their mental math skills will be developed as well as a deeper appreciation for the step-by-step process in computation.Knowledge of Number LinesBefore the worksheet, children might have only a basic understanding of number lines and how to use them for adding or subtracting numbers. After practicing with this worksheet, they would have a strong grasp of their application for multiplying unit fractions. They will understand the link between fractions and points on the number line, as well as its representation of their multiplication results. This is a profound learning that is essential for further studies in mathematics.Understanding Unit FractionsUnit fractions are the building blocks of other fractions and essential for developing strong fraction concepts. After completing the worksheet, students will have a concrete understanding of unit fractions and their multiplication. They will know how unit fractions compose other fractions and how changing the numerator influences the fraction's value. This knowledge can be generalized to other math areas, such as algebraic fractions.Mathematical ConfidenceMathematics can be a daunting subject for many students. By working through problems on their own, students will build confidence in their own abilities. This worksheet provides the necessary practice for students to solidify knowledge and boost their confidence. The more they practice, the less intimidating the subject becomes. They will feel more comfortable tackling similar problems in their coursework or exams and will exhibit increased enthusiasm and interest in mathematics.Critical Thinking and ReasoningAfter diligently finishing the worksheet, scholars are expected to have sharpened their critical thinking skills. They will be accustomed to thinking logically, breaking down problems, making calculations, and arriving at conclusions. This capacity to make logical connections and reason mathematically is not only useful in math studies but across all academic disciplines.Preparation for Advanced TopicsMultiplying unit fractions is a seminal concept in mathematics, and understanding it is crucial for grasping more advanced topics in the field. Mastery of this skill will prepare students for a smoother transition to more complex mathematical problems, such as those involving whole numbers, mixed numbers, decimal numbers, ratios, and proportions. The ability to multiply unit fractions efficiently provides learners with a solid base for more advanced mathematical exploration.
Multiplying Fractions & Whole Numbers
4nf4b

×
Description:
"This worksheet is designed to help children understand the concept of multiplying fractions with whole numbers. It contains 12 math problems, providing sufficient practice in this key area. The worksheet can be easily customized, turned into flash cards for hands-on learning, or even used for distance education programs, making it adaptable for various teaching methods and learning preferences."

×
Student Goals:
Mastery of Fraction and Whole Number MultiplicationUpon completion of this worksheet, students should have a solid understanding of how to multiply fractions by whole numbers—a key skill in the subject of mathematics. This understanding will allow them to solve a wide range of real-world and abstract mathematical problems, increasing their overall mathematical literacy and competency.Procedural ProficiencyStudents should be able to fluently and correctly follow the process of multiplying fractions by whole numbers. They should know how to simplify fractions where necessary, convert whole numbers to fractions, and carry out multiplication, then represent their answers in the simplest form. This demonstrates their procedural proficiency, an essential part of computational mathematics.Problem-Solving AbilityWith the successful completion of this worksheet, students should be able to apply their fraction and whole number multiplication skills in various contexts. This helps in enhancing their mathematical problem-solving capability. They should be capable of interpreting problems, devising a plan to solve them, and executing that plan to obtain the correct answer.Mathematical ConfidenceBy completing the worksheet, students will have had the opportunity to build confidence in their mathematical abilities. Successfully solving these problems will give them the assurance that they have grasped a fundamental math concept. This growing confidence is vital in encouraging them to tackle more complex mathematics down the line.Application of Maths ConceptsThe multiplication of fractions and whole numbers is not just a stand-alone lesson—it’s part of larger mathematical concepts. After completing this worksheet, students should be able to apply this skill in other areas of math such as algebra, real-world application problems, and more. Understanding this connection to broader mathematical concepts further deepens their understanding of the subject.Preparedness for Advanced MathsThis worksheet lays important groundwork for more advanced mathematical concepts that students will encounter in later years of schooling. The mastery of fraction multiplication is crucial as they progress to more complex mathematical operations such as division of fractions, algebraic fractions, or even when delving into calculus. Success with this worksheet thus creates a strong foundation for future success in mathematics.
Multiplying Unit Fractions by Whole Numbers
4nf4a

×
Description:
"This worksheet is designed to help children practice multiplying unit fractions by whole numbers. An essential math concept, this worksheet features 20 comprehensive problems ranging from simple to complex. Perfect for personalized learning, it can be easily customized to match a child's pace of learning, converted into interactive flashcards or incorporated into a distance learning curriculum to facilitate better understanding."

×
Student Goals:
Understanding of Multiplication ConceptAfter completing the worksheet, students can demonstrate an improved understanding of multiplication as a concept, particularly regarding the multiplication of unit fractions by whole numbers. They gain clarity on how multiplication is used to calculate the product of a whole number multiplied by a fraction.Mathematical Skills EnhancementStudents can enhance their mathematical skills with diligent practice. The worksheet equips students with the ability to perform efficient and accurate calculations involving fractions and whole numbers, reinforcing their basic math competency and the application of theoretical arithmetic concepts.Critical ThinkingBy navigating through diverse multiplication problems, students inherently improve their logical reasoning and critical thinking skills. The mathematical challenges presented in the worksheet compel them to deduce, strategise, and problem-solve, therefore, fostering significant cognitive development.Grasp of Fractional ValuesThe comprehensive practice provided by the worksheet aids students in better understanding fractional values and how they operate within multiplication. They also develop a strong familiarity with unit fractions, enabling them to work with such values confidently in more complex mathematical contexts.Operational Fluency in MultiplicationAfter completing the worksheet, students are expected to show increased fluency in multiplication operations. They will grow adept in calculating the product of unit fractions by whole numbers with precision and speed, demonstrating increased proficiency in the application of multiplication within mathematical settings.Awareness of Numerical RelationshipsBy working with unit fractions and whole numbers, students grasp the relationship between these sets of numbers. The worksheet encourages them to explore and understand the dynamics between fractions and whole numbers, enlightening them about the fundamentals of number theory.Mathematical ConfidenceFinally, working through and completing the worksheet imparts a developed sense of confidence in students concerning their mathematical abilities. By overcoming the challenges presented in a worksheet, students enhance not only their mathematical skills but also their academic morale, perseverance, and self-efficiency.
Multiplying Fractions by Whole Numbers
4nf4a

×
Description:
"This worksheet is designed to reinforce children's understanding of multiplying fractions by whole numbers. Through 20 carefully crafted math problems, students will grasp this essential concept in mathematics. The versatility of this worksheet allows it to be customized to fit individual learning styles, converted into interactive flashcards for engaging study, or implemented in distance learning curriculum to ensure continued academic growth no matter the setting."

×
Student Goals:
Understanding FractionsUpon completing the worksheet, students should have a strong understanding of fractions. They should comprehend the fundamental aspects of fractions, including numerators and denominators, and how they affect the value of the fraction. By working through the problems, they will also understand the relationship between fractions and whole numbers. From this, students should be able to confidently interpret and translate real-world situations that involve fractions.Multiplication SkillsThis worksheet will help students hone their multiplication skills, not only when it comes to multiplying whole numbers amongst themselves, but also in multiplication between whole numbers and fractions. Students should be comfortable multiplying fractions and whole numbers together in different combinations and understand how to simplify the resultant fractions as required.Problem-Solving AbilitiesStudents should be able to develop problem-solving skills as they push through each problem, choosing the correct formula to apply when dealing with fractions and whole numbers. The exercise should foster their ability to think critically, helping them identify patterns or shortcuts that can aid in rapidly solving multiplication problems involving whole numbers and fractions.Confidence in MathematicsThe worksheet assists in building students' confidence and interest in mathematics. After completion, students should feel accomplished and have a new-found, or reinforced, confidence to tackle similar fraction problems, thus molding a positive and courageous attitude towards maths as a whole. It catalyzes their engagement with more complex problems in the future.Practical ApplicationBy mastering the multiplication of fractions by whole numbers, students should be equipped to handle real-life applications of fractions. This includes understanding and interpreting situations that involve division of quantities into fractional parts.
Multiplying Fraction by a whole (word)
4nf4c

×
Description:
"This worksheet is designed to help children practice and learn math, particularly fractions, through real-world problems. Key topics include multiplication and division of fractions, understanding of proportions, and practical applications of fractions. With 12 customizable problems, it offers flexibility to adapt according to learning needs. The worksheet can be converted into flash cards or used for distance learning, fostering a more interactive and engaging learning experience."

×
Student Goals:
Understanding FractionsUpon completion of this worksheet, students will be able to demonstrate a sound understanding of fractions. They will understand how fractions are used in everyday situations and can apply their knowledge to solve various problems. They will understand the concept that fractions represent parts of a whole, and be able to apply this in the context of real life scenarios.Problem-Solving SkillsThis worksheet encourages students to develop and apply problem-solving skills. They will approach each fraction-based word problem critically and strategically, refining their analytical thinking process. Students will be more skilled at translating real life situations into mathematical expressions, breaking down problems, and methodically working their way to solutions.Multiplication and Division of FractionsStudents will further enhance their arithmetic skills specifically on multiplication and division of fractions. They will practice these operations within a diverse range of problems, assisting them in mastering the mathematical principles involved when multiplying or dividing fractions.Application of Math in the Real WorldThrough solving word problems featuring real world scenarios, students will learn to apply math to their everyday lives. They will understand how fractions fit into diverse situations, from baking cakes to measuring distances. This will stimulate an appreciation of how math is deeply entrenched in practical uses, thereby adding relevance to the subject matter.Increased Confidence and Proficiency in MathBy successfully completing this worksheet, students will foster a sense of achievement which will contribute to their overall math confidence and proficiency. They will gain the solid groundwork and reinforcement needed to tackle more complex mathematical problems. Additionally, their enhanced abilities in solving fraction-related problems will provide them the readiness for more advanced mathematical topics.